Skip to content

This website is intended
for Educators and Education Professionals

Please select the option based on your occupation to access the appropriate website:

Teachers, Educators and
Education Professionals

Students and Other Visitors

Graphing Scientific Calculator

fx-7400GIII

Powerful Function Provides Visual Support for Mathematical Exploration

fx-7400GIII has exploring features, ideal for mathematics learning.
Customers using the previous model fx-7400GII can use fx-7400GIII as it is for key operations and functions.

Features

Easy and Intuitive Operability

Interactive format

G-Solve feature

Intuitive operability and G-Solve features make it easy to use the features of fx-7400GIII.

This allows you to spend less time teaching how to operate graphing calculators and more time teaching mathematics.

The user-friendly Icon menu, Function keys and Interactive format enable intuitive operation.

Icon menu

Function keys

Interactive format

Example

Solve the Polynomial equation.
x2 + 2x + 1 = 0

The solution is
x = -1

Icon display

Interactive format

Input coefficient

Solution

Use the G-Solve feature to easily solve problems involving intersections, roots, and integration.

Find the point of intersection of two graphs by simply pressing the "G-SLV" key.

Essential Functions for Learning All in One

Graph function

Graphing calculators have a variety of functions covering from primary to higher education. Students can cultivate mathematical thinking through Graph functions operated by themselves.

Graph

Linear and Cubic function Graphs

Inequality Graph

Polar coordinate graph

Students find answers in different ways.
For example, students can use either Graph, Equation, or Matrix function to solve the simultaneous equations below.

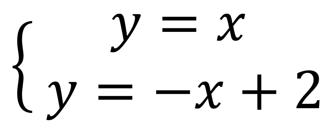
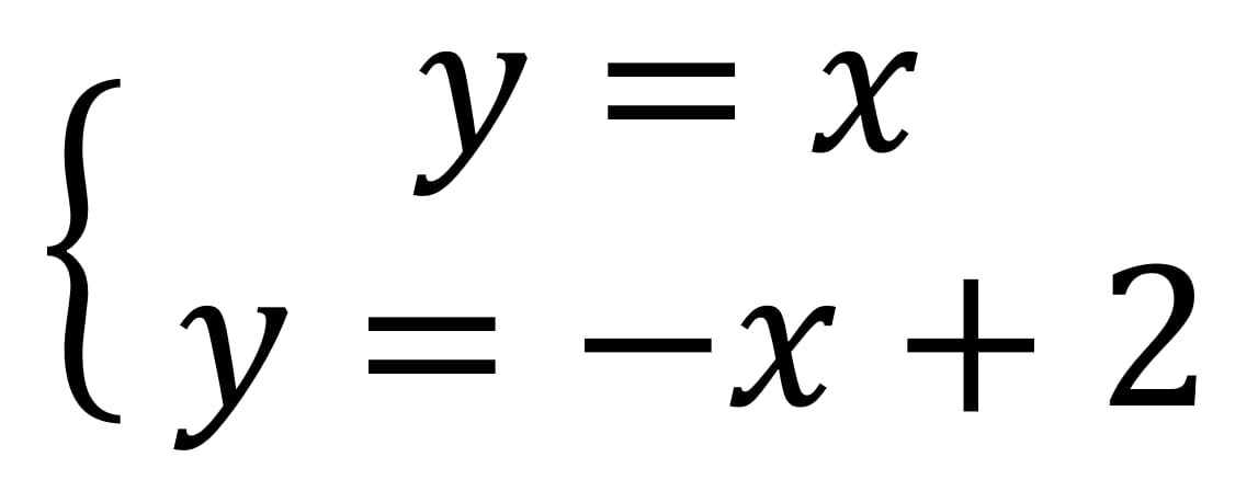
Example

Solve the simultaneous equations.

The solution is
x = 1
y = 1

1. Using Graph

Icon display

Input Equations

Draw Graphs

Intersection coordinates

2. Using Equation Calculations

Icon display

Select equation

Input coefficient

Solution

Scientific calculations

Basic function

Fractions, Square roots Exponents, Logarithms, and Trigonometric functions

Algebra

Complex number calculations and Matrix calculations

Calculus

Differentiation calculations and Integration calculations

Statistics

Pie Chart

Med Box

Normal Probability Distribution Graph

Select a location