Skip to content

This website is intended
for Educators and Education Professionals

Please select the option based on your occupation to access the appropriate website:

Teachers, Educators and
Education Professionals

Students and Other Visitors

Graphing Scientific Calculator

fx-9860GIII

Easy-to-Operate, Powerful Function Provides Visual Support for Mathematical Exploration

Graphing calculators with Natural Textbook Display, spreadsheet, and Python, ideal for mathematics learning.
Customers using the previous model fx-9860GII can use fx-9860GIII as it is for key operations and functions.

Features

Easy and Intuitive Operability

Interactive format

G-Solve feature

Intuitive operability and G-Solve features make it easy to use the features of fx-9860GIII.

This allows you to spend less time teaching how to operate graphing calculators and more time teaching mathematics.

The user-friendly Icon menu, Function keys and Interactive format enable intuitive operation.

Icon menu

Function keys

Interactive format

Example

Solve the Polynomial equation.
X² + 2x + 1 = 0

The solution is
x = -1

Icon display

Interactive format

Input coefficient

Solution

Use the G-Solve feature to easily solve problems involving intersections, roots, and integration.

Find the point of intersection of two graphs by simply pressing the "G-SLV" key.

Essential Functions for Learning All in One

Spreadsheet

Graphing calculators have a variety of functions covering from primary to higher education. Students can cultivate mathematical thinking through Graph functions operated by themselves.

Graph

Linear and Cubic function Graphs

Inequality Graph

Polar coordinate graph

Students find answers in different ways.
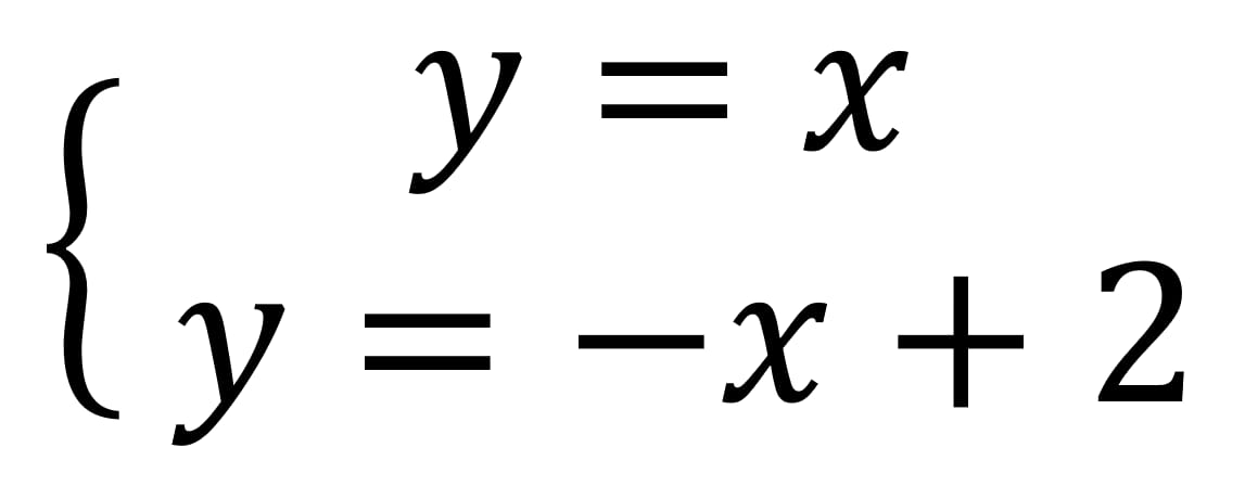
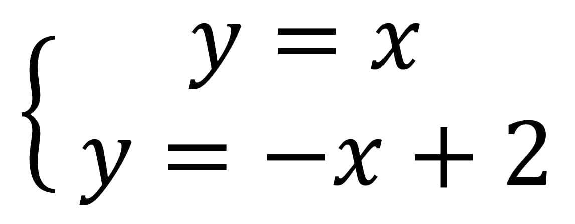
For example, students can use either Graph, Equation, or Matrix function to solve the simultaneous equations below.

Example

Solve the simultaneous equations.

The solution is
x = 1
y = 1

1. Using Graph

Icon display

Input Equations

Draw Graphs

Intersection coordinates

2. Using Equation Calculations

Icon display

Select equation

Input coefficient

Solution

3. Using Matrix Calculations

Icon display

Input matrix A

Input matrix B

Matrix calculation

Scientific calculations

Basic function

Fractions, Square roots Exponents, Logarithms, and Trigonometric functions

Algebra

Complex number calculations and Matrix calculations

Calculus

Differentiation calculations and Integration calculations

Statistics

Pie Chart

Med Box

Normal Probability Distribution Graph

Geometry

Apollonius Circle

Cycloid curve

Triangle and circle

Programming Language "Python"

The fx-9860GIII comes built-in with Python, a programming language used in the development of Internet search engines, social media sites, robots, etc.

Python conceptual diagram

Learning algorithmic thinking with Python*

Python is attracting attention in the field of education as a learning tool that cultivates algorithmic thinking and has been adopted for use in textbooks.

*Python is a registered trademark of the Python Software Foundation.
Python mode supports a version of MicroPython Version 1.9.4, which has been adapted to run on this calculator. Please note that MicroPython is different from the Python that runs on a computer.

Reproduce textbook content on a calculator!

Try to program in Python and explore by inserting various values.

By Python

Answer

Communicate with PC easily without software

By connecting fx-9860GIII to a PC with a USB cable, you can easily communicate with PC. It is convenient because data such as programs and memory can be easily moved between fx-9860GIII and PC.

Communicate between fx-9860III and PC with USB cable

Extensive and Advanced Features

Science and Technology Education

Data-logger can be used with graphing calculators and is effective for both mathematics education and science and technology education.

  • CMA CLAB Data-logger is supported.
  • E-CON is an application that is used to operate the Data-logger.
  • CLAB is the Data-logger (collecting the data via light, voltage, temperature sensor, etc. )supported by CMA company.

This feature, with a simple user interface, is effective for collecting data for use in classroom science and technology lessons.

Effective for Science and Technology Education

Financial calculations

Periodic Table
Add-in software
(Downloadable software)

Probability Simulation
Add-in software
(Downloadable software)

Fundamental Physical Constants

Conversion

This mode allows you to quickly prepare your calculator for exams. This mode restricts access to memory, programs, functions, and applications, so that these features would not be available during exams.

Effective for Examinations in school

Reset1 is the function that deletes all data of Main Memory and Storage Memory except several Add-ins as follows.

The following Add-ins are not deleted when Reset1 function is executed.

  • 3D Graph (3DGraph.g3a) v1.02 or later
  • Geometry (Geometry.g3a) v1.05 or later
  • Physium (Physium.g3a) v1.05 or later
  • Picture Plot (PictPlot.g3a) v1.03 or later
  • Conversion (Conv.g3a) v1.00 or later
  • Probability Simulation (ProbSim.g3a) v1.02 or later

All other Add-ins except above are deleted when Reset1 function is executed.

Please install the latest version of Add-in software from our website if you do not want to delete Add-ins with the version older than above.

“Add-ins deleted by Reset1 are Installed.” is displayed on graphing calculators in case of the following situation.

For fx-CG50/CG20 Series
(a) Including Add-ins deleted by Reset1 when data communication of Storage Memory is finished.
(b) Including Add-ins deleted by Reset1 when data communication between graphing calculators is executed.
(c) Including Add-ins deleted by Reset1 when completing initial setting.

For fx-CG Manager PLUS Subscription
(d) Including Add-ins deleted by Reset1 when the fx-CG Manager is initialized after version upgrade.
(e) Including Add-ins deleted by Reset1 when the Memory mode [Import] is finished.

Select a location