Skip to content

This website is intended
for Educators and Education Professionals

Please select the option based on your occupation to access the appropriate website:

Teachers, Educators and
Education Professionals

Students and Other Visitors

Graphing Scientific Calculator

fx-CG50

Easy-to-Operate, High-Definition 3D Graph Provides Visual Support for Mathematical Exploration

fx-CG50 has intuitive operability and exploring features, ideal for mathematics learning.

Features

Easy and Intuitive Operability

Interactive format

G-Solve feature

Intuitive operability and G-Solve features make it easy to use the features of fx-CG50.

This allows you to spend less time teaching how to operate graphing calculators and more time teaching mathematics.

The user-friendly Icon menu, Function keys and Interactive format enable intuitive operation.

Icon menu

Function keys

Interactive format

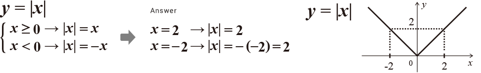
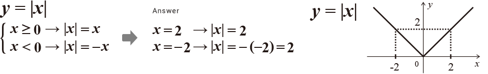
Example

Solve the Polynomial equation.
x2 + 2x + 1 = 0

The solution is
x = -1

Icon display

Interactive format

Input coefficient

Solution

Use the G-Solve feature to easily solve problems involving intersections, roots, and integration.

Find the point of intersection of two graphs by simply pressing the "G-Solve" key.

Essential Functions for Learning All in One

3D Graph function

Graphing calculators have a variety of functions covering from primary to higher education. Students can cultivate mathematical thinking through Graph functions operated by themselves.

Graph

Linear and Cubic function Graphs

Inequality Graph

Parametric Graph

Polar coordinate graph

3D Graph

CONE

Z=graph

Parametric graphs

Rotating body graphs

Students find answers in different ways.
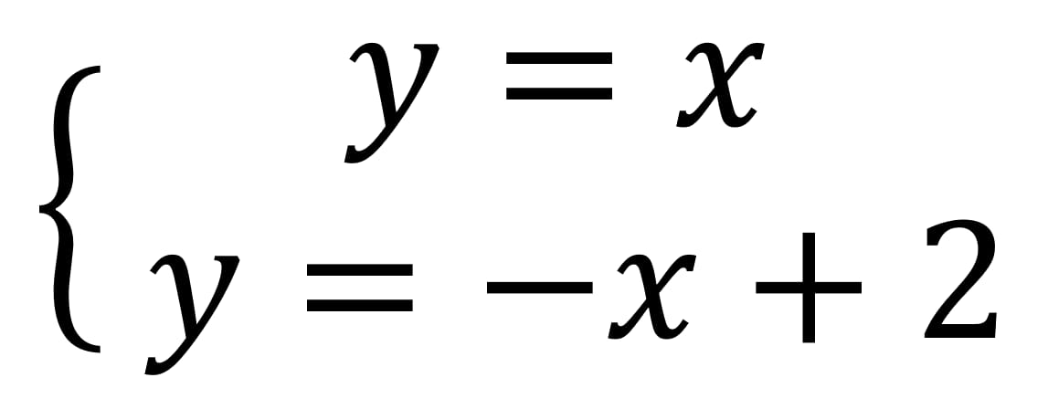
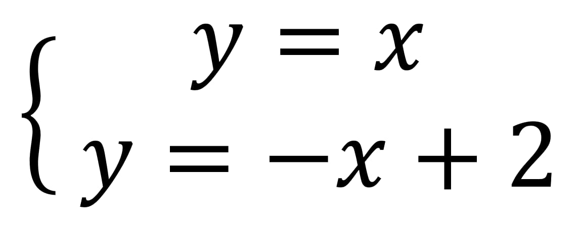
For example, students can use either Graph, Equation, or Matrix function to solve the simultaneous equations below.

Example

Solve the simultaneous equations.

The solution is
x = 1
y = 1

1. Using Graph

Icon display

Input Equations

Draw Graphs

Intersection coordinates

2. Using Equation Calculations

Icon display

Select equation

Input coefficient

Solution

3. Using Matrix Calculations

Icon display

Input matrix A

Input matrix B

Matrix calculation

The 3D Graph feature of the fx-CG50 makes it easy to draw and explore 3D graphs. This feature promotes mathematical understanding of 3D graphs and helps in learning solid figures.

1. Draw and display 3D Graph

3D graphs can be drawn in various ways.

1) Using templates

It’s easy to draw 3D graphs using templates. (*An industry-first feature)

2) Z= graph

3) Parametric graphs

4) Rotating body graphs (around X-Axis, around Y-Axis) *An industry-first feature

Rotating body graphs can be drawn in two ways (rotating around X-Axis or Y-Axis).

2. Draw and display up to three 3D graphs

Recognize combinations of 3D graphs and interactive relationships between two or three graphs mathematically.

Three expressions available

Cylinder and plane expressions

Three expressions available

3. Investigate the relationship between expressions and 3D graphs

Expression

3D Graph

Select EXPRESS, VECTOR, or POINTS format when inputting expressions of 3D graphs.

EXPRESS format

VECTOR format

POINTS format

4. Explore 3D graphs mathematically

These functions are effective in exploring 3D Graphs geometrically.

1) Viewing from various directions

(i) Zoom in and zoom out, (ii) Rotation vertically and horizontally, (iii) Cross section, (iv) X-axis / Y-axis / Z-axis view
These functions are effective in exploring 3D graphs geometrically.

Cylinder

(i)

Zoom in

Zoom out

(ii)

Vertical rotation

Horizontal rotation

(iii)

Cross section

(iv)

X-axis view
Y-axis view

X-axis view

2) Tracing of graphs *An industry-first feature

Explore the coordinates on the surface of 3D graphs (all kinds) by using the cursor keys to move the trace pointer.

3) Intersection between graphs *An industry-first feature

Explore the intersection (coordinates, line) between 3D graphs (line and line, line and plane, plane and plane).
Expression of the intersection line or the coordinates of intersection.

4) Relation between graphs *An industry-first feature

Explore the relationship (parallel, orthogonal, etc.) between 3D graphs (line and line, line and plane, plane and plane).

*Based on CASIO information as of August 2017

3D Graph Samples

1. Z= graph

2. Parametric graphs

3. Rotating body graphs

Examine intersections between lines, planes and spheres.

Effective learning with 3D Graph

1. Draw and display 3D Graph

Students get the possibility to visualize the most important intersections between lines, planes and spheres: The intersection point, line or circle. This can be very helpful for them to develop solution strategies.

Additionally different input methods are used in all these examples.

Definition by vector, definition by equation.

Definition by vector, definition by equation.

Students can view graphs from various angles, and explore the intersection between 2 objects visually by themselves.

Examine the relationship between lines and planes and their intersections.

Teachers and pupils can study the relationship between lines and planes and can examine their intersections.
Intersection : Intersection point, intersection line or Not Found, etc.
Relation : Intersection, Parallel, Orthogonal, or Skewed lines etc.

Scientific calculations

Basic function

Fractions, Square roots Exponents, Logarithms, and Trigonometric functions

Algebra

Complex number calculations and Matrix calculations

Calculus

Differentiation calculations and Integration calculations

Statistics

Pie Chart

Med Box

Linear Regression

Normal Probability Distribution Graph

Geometry

Apollonius Circle

Three centers of Triangle

Triangle and circle

Programming Language "Python"

The fx-CG50 comes built-in with Python, a programming language used in the development of Internet search engines, social media sites, robots, etc.

Python conceptual diagram

Learning algorithmic thinking with Python*

Python is attracting attention in the field of education as a learning tool that cultivates algorithmic thinking and has been adopted for use in textbooks.

*Python is a registered trademark of the Python Software Foundation.
Python mode supports a version of MicroPython Version 1.9.4, which has been adapted to run on this calculator. Please note that MicroPython is different from the Python that runs on a computer.

Reproduce textbook content on a calculator!

Try to program in Python and explore by inserting various values.

By Python

Answer

Extensive and Advanced Features

Science and Technology Education

Data-logger can be used with graphing calculators and is effective for both mathematics education and science and technology education.

1) This feature, with a simple user interface, is effective for collecting data for use in classroom science and technology lessons.

This feature has Auto-ID recognition, which enables automatic drawing of graphs of collected data with no complicated settings.

2) Manual Sampling Mode

This feature includes Manual Sampling Mode, which enables you to freely draw graphs of collected data.

Financial calculations

Periodic Table

Fundamental Physical Constants

Conversion

This mode allows you to quickly prepare your calculator for exams. This mode restricts access to memory, programs, functions and applications, so that these features would not be available during exams.

Effective for Examinations in School.

Reset1 is the function that deletes all data of Main Memory and Storage Memory except several Add-ins as follows.

The following Add-ins are not deleted when Reset1 function is executed.

  • 3D Graph (3DGraph.g3a) v1.02 or later
  • Geometry (Geometry.g3a) v1.05 or later
  • Physium (Physium.g3a) v1.05 or later
  • Picture Plot (PictPlot.g3a) v1.03 or later
  • Conversion (Conv.g3a) v1.00 or later
  • Probability Simulation (ProbSim.g3a) v1.02 or later

All other Add-ins except above are deleted when Reset1 function is executed.

Please install the latest version of Add-in software from our website if you do not want to delete Add-ins with the version older than above.

“Add-ins deleted by Reset1 are Installed.” is displayed on graphing calculators in case of the following situation.
For fx-CG50/CG20 Series
(a) Including Add-ins deleted by Reset1 when data communication of Storage Memory is finished.
(b) Including Add-ins deleted by Reset1 when data communication between graphing calculators is executed.
(c) Including Add-ins deleted by Reset1 when completing initial setting.

For fx-CG Manager PLUS Subscription
(d) Including Add-ins deleted by Reset1 when the fx-CG Manager is initialized after version upgrade.
(e) Including Add-ins deleted by Reset1 when the Memory mode [Import] is finished.

Select a location