Skip to content

This website is intended
for Educators and Education Professionals

Please select the option based on your occupation to access the appropriate website:

Teachers, Educators and
Education Professionals

Students and Other Visitors

Scientific Calculator

fx-570EX

CLASSWIZ

EX Series

Classroom Standard
with High-Resolution LCD Technology

ClassWiz features intuitive operability and high-performance functions, making it ideal for education.

Features

Easy and Intuitive Operability

ClassWiz Series

ES PLUS Series

Intuitive and interactive operation makes it easy to use the features of ClassWiz.
By the use of icons, selection of the desired function is quick and easy.

Visual, interactive and textbook-based displays make operation easier for teaching the use of scientific calculators, so you can concentrate on teaching mathematics.

Interactive menu display realizes more intuitive operation.

ClassWiz Series

MS Series

Input and display fractions, powers, logarithms, roots, and other mathematical formulas and symbols just as they appear in textbooks.

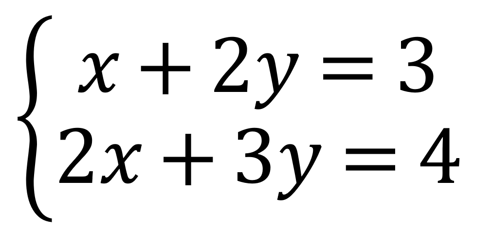
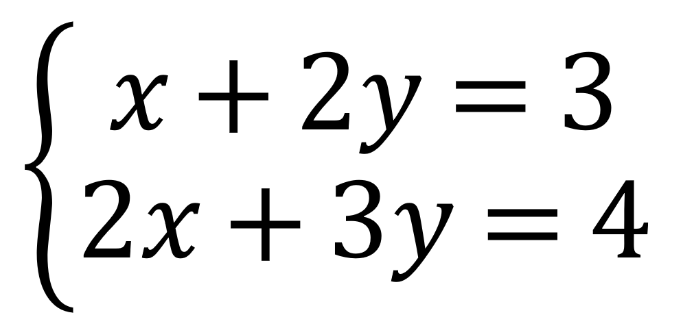
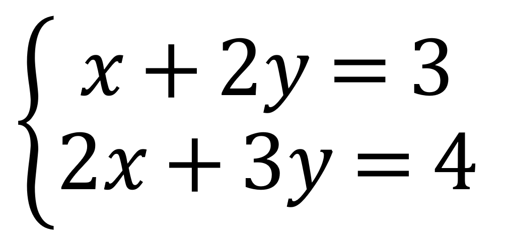
Solve the simultaneous equations.

The solution is
x = -1
y = 2

 

ClassWiz Series

Icon display

Select equation

Input coefficient

Solution

MS Series

Icon display

Select equation

Input coefficient

Solution

Essential Functions for Learning All in One

Spreadsheet

Useful for learning statistics.
Up to 5 columns x 45 rows
(maximum of 170 data items)

A wide range of essential functions are effective for education and available to support student's learning.

Even advanced mathematical calculations are simple to perform and functions that take advantage of previous unavailable display capabilities are now possible.

Spreadsheet calculations

Statistics

The spreadsheet function can be used for studying statistics which has become important in mathematics classes.

Example: Student's height data comparison chart

Statistical calculation such as the mean of the data is executed

Recursion

In addition, the spreadsheet function makes it possible to enter recursive formulas.

Sequence: a1=2 and an+1 -2an-3 (n=1, 2, 3 ...)

a1-2, a2=1, a3=-1, a4=-5, a5=-13

Riemann Integral

Calculation using advanced Riemann functions is also possible.

The spreadsheet function makes it easy to use real-world data even in the classroom, enabling students to effectively study statistical processing.

From basic level to advanced math level for secondary and tertiary education.

Fractions and rational numbers

Equation

Matrix

Integration

Example

Solve the matrix calculation.

ClassWiz Series

Able to enter Matrix just as textbook form

Able to have the answer in 1 display as textbook form

MS Series

Need 4 displays to enter numbers in Matrix A

Need 4 displays to enter numbers in Matrix B

Need 4 displays to check the final answer

Simple and Quick Calculations

Simple key strokes and visualized formulas make calculations faster.
Fast calculation for smooth performance in class or during examinations.

Calculate the mean height of 5 students.

< Students’ height >
176cm, 180cm, 173cm, 180cm, 175cm

ClassWiz series

 2 steps

Fewer keystrokes and faster !!
Standard variation, variance, mean, sum all in one display!
No more jotting down each solution on paper, ClassWiz will save your time.

ES PLUS Series

 6 steps

ES PLUS Series

 6 steps

ES PLUS Series

 6 steps

Integration with Casio's Online Visualization Service

Compatibility with ClassPad.net, a convenient online service for classrooms equipped with ICT tools, has been enhanced.
The service can be accessed by scanning QR codes displayed on the calculator screen.

Search for "ClassWiz Calc App" on the App Store or Google Play and download it to access the full QR Code Link feature.

Note: The name may differ depending on the region. Please download either "ClassWiz Calc App," "ClassWiz Calc App QR," or "ClassWiz Calc App Plus." 

ClassWiz QR Code can be read to display ClassWiz formulas and graph on ClassPad.net

Generate QR codes of equations input into the calculator by a simple operation.
Graphs and other information can be displayed on smartphone or tablet screen.

Visualization with graphs

Input data

Generate & scan QR code

Graph on smart device

Makes formulas visually understandable.

Analyze graph

Classpad.net allows you to display graphs and perform various visual analysis.

Instruction manuals for each function can be accessed via QR codes, so you can quickly search for relevant information when needed.

Display menu

QR code

Display manual

Makes learning to operate the calculator fast and easy

Authenticity Check

Many fake CASIO scientific calculators can be found in the market.
Ensure your CASIO calculator is authentic by using our quick and easy verification process.
Protect yourself from counterfeit products and enjoy the full benefits of genuine CASIO quality.

Select a location