Skip to content

เว็บไซต์สำหรับนักการศึกษาและผู้เชี่ยวชาญด้านการศึกษา

กรุณาเลือกตัวเลือกด้านล่าง เพื่อการเข้าถึงเว็บไซต์ที่เหมาะสม

ครู อาจารย์ และผู้เชี่ยวชาญด้านการศึกษา

นักเรียน และผู้เยี่ยมชมอื่น ๆ

เยี่ยมชม "เว็บไซต์ของคาสิโอ"

เครื่องคำนวณวิทยาศาสตร์แบบกราฟิก

fx-9860GIII

มีความสะดวก ใช้งานง่าย 
มีฟังก์ชันรองรับการสำรวจ
ทางคณิตศาสตร์ขั้นสูง

เครื่องคำนวณวิทยาศาสตรแบบกราฟิก พร้อมจอแสดงผลเสมือนหนังสือเรียนจริง
มีฟังก์ชันสเปรดชีท (Spreadsheet) และ Python เหมาะสำหรับการเรียนคณิตศาสตร์
สำหรับลูกค้าที่ใช้รุ่นก่อนหน้า fx-9860GII สามารถใช้รุ่น fx-9860GIII ได้เหมือนเดิมสำหรับการใช้งานปุ่มและฟังก์ชันต่าง ๆ

คุณสมบัติ

1. การใช้งานที่เข้าใจได้ง่าย

รูปแบบการตอบกลับเป็นอินเทอร์แอคทีฟ

คุณสมบัติของ G-Solve

ด้วยคุณสมบัติของ G-Solve ที่เป็นเรียบง่าย ทำให้สามารถใช้ฟังก์ชันต่าง ๆ ของเครื่องคำนวณ fx-9860GIII ได้อย่างง่ายดาย

ส่งผลให้เรียนรู้วิธีใช้งานเครื่องคำนวณแบบกราฟิกน้อยลง มีเวลาในการคิดคำนวณและวิเคราะห์คณิตศาสตร์ได้มากขึ้น

มีไอคอน ปุ่มฟังก์ชันและรูปแบบการกดปุ่มที่เข้าใจได้ง่าย ช่วยอำนวยความสะดวกในการใช้งาน

เมนูหลัก

ปุ่มฟังก์ชัน

รูปแบบอินเทอร์แอคทีฟ

ตัวอย่าง

การแก้สมการพหุนามตัวแปรเดียว
X² + 2x + 1 = 0

คำตอบคือ
x = -1

การแสดงไอคอน

รูปแบบอินเทอร์แอคทีฟ

การป้อนค่าสัมประสิทธิ์

วิธีทำ

G-Solve เป็นฟังก์ชันการแก้โจทย์แบบกราฟิกที่พบในเครื่องคำนวณแบบกราฟิกของ CASIO ซึ่งช่วยให้ผู้ใช้สามารถหาค่าสำคัญต่าง ๆ บนกราฟได้อย่างง่ายดาย โดยไม่จำเป็นต้องใช้สูตรที่ซับซ้อน

สามารถหาจุดตัดของกราฟทั้งสองได้ง่าย ๆ เพียงแค่กดปุ่ม G-SLV

2. รวมฟังก์ชันที่จำเป็นสำหรับการเรียนรู้ไว้ในหนึ่งเดียว

สเปรดชีท (Spreadsheet)

เครื่องคำนวณแบบกราฟิกมีฟังก์ชันที่หลากหลาย ครอบคลุมตั้งแต่ระดับประถมศึกษาจนถึงอุดมศึกษา นักเรียนสามารถฝึกฝนการคิดทางคณิตศาสตร์ผ่านการฟังก์ชันกราฟ สามารถใช้งานได้ด้วยตนเอง

กราฟ

กราฟของฟังก์ชันเชิงเส้นและฟังก์ชันกำลังสาม

กราฟอสมการ

กราฟพิกัดเชิงขั้ว

นักเรียนสามารถหาคำตอบได้หลายวิธี
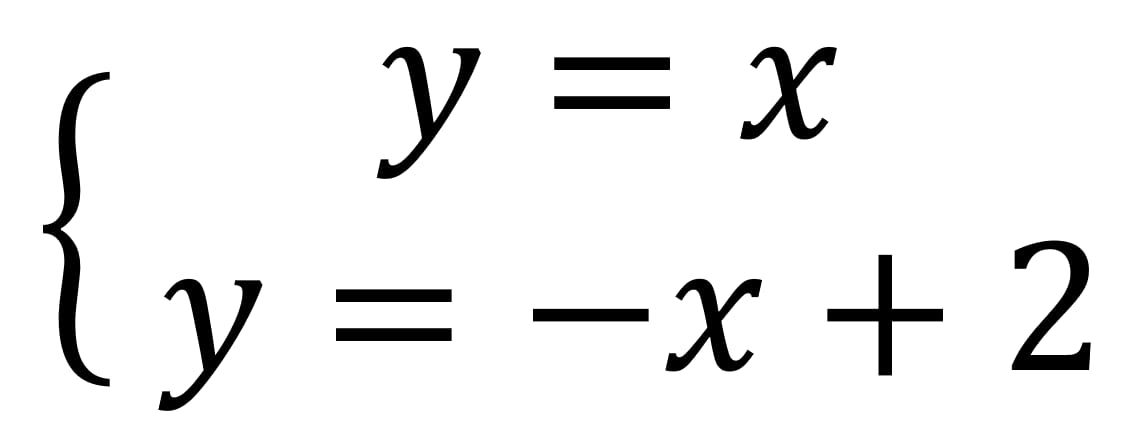
ตัวอย่างเช่น นักเรียนสามารถใช้ฟังก์ชันกราฟ สมการ หรือเมทริกซ์ในการแก้ระบบสมการเชิงเส้นดังต่อไปนี้

ตัวอย่าง

การแก้ระบบสมการ

คำตอบคือ
x = 1
y = 1

1. การสร้างกราฟ

การแสดงไอคอน

การป้อนสมการ

การแสดงกราฟ

พิกัดของจุดตัด

2. การแก้สมการ

การแสดงไอคอน

การเลือกสมการ

การป้อนค่าสัมประสิทธิ์

คำตอบ

3. การคำนวณเมทริกซ์

การแสดงไอคอน

การป้อนค่าเมทริกซ์ A

การป้อนค่าเมทริกซ์ B

การคำนวณเมทริกซ์

การคำนวณทางวิทยาศาสตร์

ฟังก์ชันพื้นฐาน

เศษส่วน รากที่สอง เลขยกกำลัง ลอการิทึม และฟังก์ชันตรีโกณมิติ

พีชคณิต (Algebra)

การคำนวณจำนวนเชิงซ้อน
และเมทริกซ์

แคลคูลัส (Calculus)

การคำนวณอนุพันธ์และปริพันธ์

สถิติ

แผนภูมิรูปวงกลม

แผนภาพกล่อง

กราฟการแจกแจงความน่าเป็น
แบบปกติ

เรขาคณิต

วงกลมของอพอลโลเนียส (Apollonius Circle)

เส้นโค้งไซคลอยด์ (Cycloid curve)

รูปสามเหลี่ยมและวงกลม

ภาษาโปรแกรมไพทอน (Python)

เครื่องคำนวณ fx-9860GIII มาพร้อมกับภาษาโปรแกรมไพทอน (Python) ซึ่งเป็นภาษาที่ใช้ในการพัฒนาโปรแกรมค้นหาบนอินเทอร์เน็ต เว็บไซต์เครือข่ายสังคมออนไลน์ หุ่นยนต์ และอื่น ๆ อีกมากมาย

แผนภาพเชิงแนวคิดของ Python

การเรียนรู้การคิดเชิงอัลกอริทึมด้วย Python*

Python กำลังได้รับความสนใจอย่างมากในแวดวงการศึกษาในฐานะเครื่องมือที่ช่วยพัฒนาการคิดเชิงอัลกอริทึม
และได้มีการนำไปบรรจุไว้ในหลักสูตรการเรียนแล้ว

*Python เป็นเครื่องหมายการค้าจดทะเบียนของ Python Software Foundation โหมดไพทอนของเครื่องคำนวณนี้รองรับ MicroPython เวอร์ชัน 1.9.4
ซึ่งถูกปรับแต่งมาให้ทำงานบนเครื่องคำนวณนี้โดยเฉพาะ โปรดทราบว่า MicroPython แตกต่างจากภาษาไพทอนที่ใช้กันบนคอมพิวเตอร์ทั่วไป

จำลองเนื้อหาในหนังสือเรียนบนเครื่องคำนวณได้เลย

ลองเขียนโปรแกรมด้วยไพทอน และทดลองป้อนค่าต่าง ๆ เพื่อสำรวจการทำงาน

โดยการใช้ Python

Answer

เชื่อมต่อกับคอมพิวเตอร์ง่าย ๆ โดยไม่ต้องใช้ซอฟต์แวร์

เมื่อเชื่อมต่อเครื่อง fx-9860GIII เข้ากับคอมพิวเตอร์ด้วยสาย USB จะสามารถส่งผ่านข้อมูลได้อย่างง่ายดาย มีความสะดวกเป็นอย่างมากเพราะช่วยให้ย้ายข้อมูลต่าง ๆ เช่น โปรแกรมและหน่วยความจำ ระหว่างเครื่อง fx-9860GIII และคอมพิวเตอร์ได้อย่างง่ายดาย

เชื่อมต่อระหว่างเครื่อง fx-9860GIII และคอมพิวเตอร์ด้วยสาย USB

3. ฟังก์ชันที่ทันสมัยและครอบคลุม

การเรียนวิทยาศาสตร์และเทคโนโลยี

เครื่องบันทึกข้อมูล (Data-logger) สามารถใช้ร่วมกับเครื่องคำนวณวิทยาศาสตร์แบบกราฟิกได้
และมีประสิทธิภาพในการเรียนการสอนคณิตศาสตร์ วิทยาศาสตร์และเทคโนโลยี

  • รองรับ CMA CLAB Data-logger
  • E-CON  เป็นแอปพลิเคชันที่ใช้สำหรับ ควบคุมการทำงานของ Data-logger (เครื่องบันทึกข้อมูล)
  • CLAB คือ Data-logger (เครื่องบันทึกข้อมูล) ที่ใช้เก็บข้อมูลผ่านเซ็นเซอร์ต่าง ๆ เช่น เซ็นเซอร์วัดแสง แรงดันไฟฟ้า อุณหภูมิ เป็นต้น
    และได้รับการสนับสนุนโดย บริษัท CMA

คุณสมบัตินี้มีอินเทอร์เฟซที่ใช้งานง่าย จึงมีประสิทธิภาพในการเก็บข้อมูลสำหรับใช้ในบทเรียนวิทยาศาสตร์และเทคโนโลยีในห้องเรียน

มีประสิทธิภาพสำหรับการเรียนด้านวิทยาศาสตร์และเทคโนโลยี

การคำนวณทางการเงิน

ตารางธาตุ
ซอฟต์แวร์เสริม
(ซอฟต์แวร์ที่สามารถดาวน์โหลดได้)

การจำลองความน่าจะเป็น
ซอฟต์แวร์เสริม
(ซอฟต์แวร์ที่สามารถดาวน์โหลดได้)

ค่าคงตัวพื้นฐานทางฟิสิกส์

การแปลงหน่วย

โหมดนี้ช่วยให้คุณเตรียมเครื่องคำนวณสำหรับใช้ในการสอบได้อย่างรวดเร็ว โดยจะจำกัดการเข้าถึงหน่วยความจำ โปรแกรม ฟังก์ชัน และแอปพลิเคชันต่าง ๆ เพื่อไม่ให้คุณสมบัติเหล่านี้สามารถใช้งานได้ในระหว่างการสอบ

มีประสิทธิภาพสำหรับการสอบในโรงเรียน

Reset1 คือฟังก์ชันที่ใช้ลบข้อมูลทั้งหมดในหน่วยความจำหลัก (Main Memory) และหน่วยความจำสำรอง (Storage Memory) ยกเว้นส่วนเสริม (Add-ins) บางตัวดังต่อไปนี้

ส่วนเสริมต่อไปนี้จะไม่ถูกลบเมื่อมีการเรียกใช้งานฟังก์ชัน Reset1:

  • 3D Graph (3DGraph.g3a) เวอร์ชัน 1.02 หรือสูงกว่า
  • Geometry (Geometry.g3a) เวอร์ชัน 1.05 หรือสูงกว่า
  • Physium (Physium.g3a) เวอร์ชัน 1.05 หรือสูงกว่า
  • Picture Plot (PictPlot.g3a) เวอร์ชัน 1.03 หรือสูงกว่า
  • Conversion (Conv.g3a) เวอร์ชัน 1.00 หรือสูงกว่า
  • Probability Simulation (ProbSim.g3a) เวอร์ชัน 1.02 หรือสูงกว่า

 

ส่วนเสริมอื่น ๆ ทั้งหมดที่นอกเหนือจากที่กล่าวมาจะถูกลบเมื่อมีการเรียกใช้งานฟังก์ชัน Reset1

กรุณาติดตั้งส่วนเสริม (Add-in) เวอร์ชันล่าสุดจากเว็บไซต์ของเรา หากคุณไม่ต้องการให้ส่วนเสริมที่มีเวอร์ชันเก่ากว่าที่ระบุไว้ถูกลบ

ข้อความ "Add-ins deleted by Reset1 are Installed" (ส่วนเสริมที่ถูกลบโดย Reset1 ได้ถูกติดตั้งแล้ว)
จะปรากฏขึ้นบนเครื่องคำนวณแบบกราฟิกในสถานการณ์ต่อไปนี้

สำหรับ fx-CG50/CG20 Series

(a) รวมส่วนเสริม (Add-ins) ที่ถูกลบโดย Reset1 เมื่อการสื่อสารข้อมูลของหน่วยความจำสำรอง (Storage Memory) เสร็จสิ้น
(b) รวมส่วนเสริม (Add-ins) ที่ถูกลบโดย Reset1 เมื่อมีการสื่อสารข้อมูลระหว่างเครื่องคำนวณแบบกราฟิก
(c) รวมถึงส่วนเสริม (Add-ins) ที่ถูกลบโดย Reset1 เมื่อทำการตั้งค่าเริ่มต้นเสร็จสมบูรณ์

สำหรับ fx-CG Manager PLUS Subscription

(d) รวมส่วนเสริม (Add-ins) ที่ถูกลบโดย Reset1 เมื่อมีการเริ่มต้นใช้งาน fx-CG Manager หลังจากอัปเกรดเวอร์ชัน
(e) รวมส่วนเสริม (Add-ins) ที่ถูกลบโดย Reset1 เมื่อโหมดหน่วยความจำ [Import] เสร็จสิ้น

Select a location